Programming
Taisnstūru metode, C++
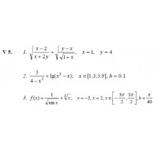
Aprēķināt noteikto integrāli diapazonā [a;b]. Lai noskaidrotu, kā integrēšanas solis iespaido..
4.25€ 236PRO
1. kontroldarbs, kvantitatīvās metodes
1. kontroldarbs 1. jautājums. Ko parāda duālās cenas? Kā informāciju par resursu duālajām cenām ..
5.75€ 331EKO
1. Patstāvīgais darbs: Lineārās programmēšanas modeļu izveide
1. Patstāvīgais darbs Lineārās programmēšanas modeļu izveide 1. Kompānija „Stenlux&rdq..
6.75€ 45PRO
2. вариант
ПРЕДМЕТ “ПРОГРАММИРОВАНИЕ” Лабораторная работа № 1 Интегрированная среда разработки пр..
3.50€ 156PRO
3_1
Lineāra programma ar nosacījuma operatoriem Paketes Swing elementu izmantošana Labora..
1.75€ 84PRO3_1
3_5
Algoritma un programmēšanas jēdzienu izpratne Algoritmu sastāstīšanas un aprakstu paņēmieni Algor..
1.75€ 84PRO3_5
3_5a
Laboratorijas darbs Programmēšana Nr. 3_5a ( 1 laboratorijas darbu nodarbība ) Darbības ar skaitļu ..
1.75€ 84PRO3_5A
3_6
Masīvu deklarācija un inicializācija, darbības ar masīviem Programmas ielādes parametri un to izmant..
1.75€ 84PRO3_6
3_7
Veselu skaitļu pārveidošana no vienas skaitīšanas sistēmas uz otru Skaitļu pārveidošanas algoritms L..
1.75€ 84PRO3_7
4_0
Laboratorijas darba uzdevums: 1. Jāiepazīstas ar bitu operācijām ar veseliem skaitļiem. 2. Jāiepazīs..
1.75€ 84PRO4_0
5. variants, MATLAB
Matlab patstāvīgais darbs (katru uzd. saglabāt atsevišķā m failā) Nosacījumi uzdevu izp..
10.00€ 83PRO5
5_0
Vienkāršas klases deklarācija, klases metodes bez parametriem un ar parametriem Metodes bez atgrieža..
1.75€ 84PRO5_0
6 вариант, Работа с линейными списками
Задание №3 Тема: " Работа с линейными списками" I. Выбрать из таблицы 1 вид спи..
4.75€ 62PRO6
6 вариант, Сортировка элементов массива.
Задание №2 Тема: "Сортировка элементов массива. Анализ эффективности алгоритмов ..
3.75€ 61PRO6















